Debug School

rakesh kumar
rakesh kumar

Posted on

How to extract information using nlp spacy library

Extracting Information from 1-dimensional structure
Extracting Information from 2-dimensional structure
Extracting Information using index
Extracting Information using type attribute

Installation Dependency
pip install spacy

python -m spacy download en

pip install nltk

Load the SpaCy Model:

import spacy
Enter fullscreen mode Exit fullscreen mode

Process Text with SpaCy

#Process Text with SpaCy:
nlp = spacy.load("en_core_web_sm")
#we apply the nlp model to a sentence, converting it into a doc object that SpaCy can work with. The doc object contains information about each word, sentence, and other features in the text.
doc = nlp("Dr. Strange loves pav bhaji of mumbai. Hulk loves chat of delhi")
Enter fullscreen mode Exit fullscreen mode

Extract Sentence

for sentence in doc.sents:
    print(sentence)
Enter fullscreen mode Exit fullscreen mode

output

Dr. Strange loves pav bhaji of mumbai.
Hulk loves chat of delhi
Enter fullscreen mode Exit fullscreen mode

Extract Tokens (Words)

for sentence in doc.sents:
    for word in sentence:
        print(word)
Enter fullscreen mode Exit fullscreen mode

output
Image description

Part-of-Speech Tags (POS)

for sentence in doc.sents:
    for token in sentence:
        print(token.text, token.pos_)
Enter fullscreen mode Exit fullscreen mode

output

Image description

How to extract Base Form of Words

for sentence in doc.sents:
    for token in sentence:
        print(token.text, token.lemma_)
Enter fullscreen mode Exit fullscreen mode

output

Image description

Another Way

[(token.text, token.lemma_) for sentence in doc.sents for token in sentence]
Enter fullscreen mode Exit fullscreen mode

output
Image description

How to extract name

for ent  in doc.ents:    
    print(ent.text, ent.label_)
Enter fullscreen mode Exit fullscreen mode

output
Image description

Dependency Parsing

for token  in doc:    
    print(token.text, token.dep_, token.head.text)
Enter fullscreen mode Exit fullscreen mode

output

Image description
Dependency parsing is a process in Natural Language Processing (NLP) used to analyze the grammatical structure of a sentence. It identifies the relationships between "head" words and words that modify them, creating a dependency tree where each word is connected to others based on syntactic relationships.

Dependency parsing is essential for understanding the grammatical structure of sentences, which helps in tasks like sentiment analysis, information extraction, machine translation, and more.
Role of Dependency Parsing
Dependency parsing helps in:

Understanding syntactic relationships between words in a sentence (subject, object, etc.).
Extracting specific information by identifying core parts of a sentence.
Improving NLP applications like chatbots, sentiment analysis, and question-answering systems by providing grammatical context.

import spacy

# Load a pre-trained English model
nlp = spacy.load("en_core_web_sm")

# Example sentence
sentence = "The quick brown fox jumps over the lazy dog."

# Parse the sentence
doc = nlp(sentence)

# Print each token with its dependency information
for token in doc:
    print(f"Token: {token.text}, Dependency: {token.dep_}, Head: {token.head.text}")
Enter fullscreen mode Exit fullscreen mode

Image description

Image description

Noun Chunks

for chunk in doc.noun_chunks:    
    print(chunk.text)
Enter fullscreen mode Exit fullscreen mode

output

Image description

Word Shape (Pattern of Capitalization, Digits)

for token in doc:    
    print(token.text, token.shape_)
Enter fullscreen mode Exit fullscreen mode

output
Image description

Is Stop Word


for token in doc:    
    print(token.text, token.is_stop)
Enter fullscreen mode Exit fullscreen mode

output
Image description

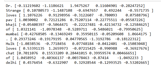
Word Vectors (If Available)
(prints the first 5 dimensions of the vector for each token)

for token in doc:     
    print(token.text, token.vector[:5])
Enter fullscreen mode Exit fullscreen mode

output
Image description

Extracting Information from 2-dimensional structure

Word with Part-of-Speech Tag for Each Sentence
This prints each word in a sentence along with its part-of-speech (POS) tag.

for sentence in doc.sents: 
    for word in sentence:
        print(f"{word.text} - {word.pos_}")
Enter fullscreen mode Exit fullscreen mode

Output Example:

Dr. - PROPN
Strange - PROPN
loves - VERB
pav - NOUN
bhaji - NOUN
Enter fullscreen mode Exit fullscreen mode

Dependency Relation of Each Word in Each Sentence
This provides the syntactic relationship (dependency) of each word in a sentence.

for sentence in doc.sents: 
    for word in sentence:
        print(f"{word.text} ({word.dep_}) -> Head: {word.head.text}")
Enter fullscreen mode Exit fullscreen mode

Output Example:

Dr. (compound) -> Head: Strange
Strange (nsubj) -> Head: loves
loves (ROOT) -> Head: loves
pav (compound) -> Head: bhaji
bhaji (dobj) -> Head: loves
Enter fullscreen mode Exit fullscreen mode
  1. Check if Each Word is a Named Entity This allows you to check if each word in the sentence is part of a named entity.
for sentence in doc.sents: 
    for word in sentence:
        if word.ent_type_:
            print(f"{word.text} - {word.ent_type_}")
Enter fullscreen mode Exit fullscreen mode

Output Example:

Dr. - PERSON
Strange - PERSON
mumbai - GPE
Hulk - PERSON
delhi - GPE
Enter fullscreen mode Exit fullscreen mode
  1. Print Each Sentence and its Length in Words You can count the number of words in each sentence.
for sentence in doc.sents:
    word_count = len([word for word in sentence])
    print(f"Sentence: {sentence.text} | Length: {word_count} words")
Enter fullscreen mode Exit fullscreen mode

Output Example:

Sentence: Dr. Strange loves pav bhaji of mumbai. | Length: 8 words
Sentence: Hulk loves chat of delhi | Length: 6 words
Enter fullscreen mode Exit fullscreen mode
  1. Retrieve Lemmas for Each Word in Each Sentence This provides the base form (lemma) of each word in each sentence. Code:
for sentence in doc.sents: 
    for word in sentence:
        print(f"{word.text} -> Lemma: {word.lemma_}")
Enter fullscreen mode Exit fullscreen mode

Output Example:

Dr. -> Lemma: Dr.
Strange -> Lemma: Strange
loves -> Lemma: love
pav -> Lemma: pav
bhaji -> Lemma: bhaji
Enter fullscreen mode Exit fullscreen mode

Extract Word Shape and Capitalization Pattern
This prints the shape and capitalization pattern of each word.

for sentence in doc.sents: 
    for word in sentence:
        print(f"{word.text} - Shape: {word.shape_}")
Enter fullscreen mode Exit fullscreen mode

Output Example:

Dr. - Shape: Xx.
Strange - Shape: Xxxxx
loves - Shape: xxxx
pav - Shape: xxx
bhaji - Shape: xxxx
Enter fullscreen mode Exit fullscreen mode

Identify Stop Words in Each Sentence
This identifies if a word is a stop word (e.g., "of," "the," "and").

for sentence in doc.sents: 
    for word in sentence:
        print(f"{word.text} - Is Stop Word: {word.is_stop}")
Enter fullscreen mode Exit fullscreen mode

Output Example:

Dr. - Is Stop Word: False
Strange - Is Stop Word: False
loves - Is Stop Word: False
pav - Is Stop Word: False
bhaji - Is Stop Word: False
of - Is Stop Word: True
Enter fullscreen mode Exit fullscreen mode

Sentence Start Position of Each Word
You can check if a word is at the start of a sentence.

for sentence in doc.sents: 
    for word in sentence:
        print(f"{word.text} - Sentence Start: {word.is_sent_start}")
Enter fullscreen mode Exit fullscreen mode

Output Example:

Dr. - Sentence Start: True
Strange - Sentence Start: None
loves - Sentence Start: None
pav - Sentence Start: None
bhaji - Sentence Start: None

Hulk - Sentence Start: True
Enter fullscreen mode Exit fullscreen mode
  1. Identify Words that are Proper Nouns This identifies proper nouns (useful for finding names or specific locations).
for sentence in doc.sents: 
    for word in sentence:
        if word.pos_ == "PROPN":
            print(f"Proper Noun: {word.text}")
Enter fullscreen mode Exit fullscreen mode

Output Example:

Proper Noun: Dr.
Proper Noun: Strange
Proper Noun: mumbai
Proper Noun: Hulk
Proper Noun: delhi
Enter fullscreen mode Exit fullscreen mode

Print Each Sentence and Calculate Average Word Length
This calculates the average length of words in each sentence.
Code:

for sentence in doc.sents:
    avg_word_length = sum(len(word) for word in sentence) / len(sentence)
    print(f"Sentence: {sentence.text} | Average Word Length: {avg_word_length:.2f}")
Enter fullscreen mode Exit fullscreen mode

Output Example:

Sentence: Dr. Strange loves pav bhaji of mumbai. | Average Word Length: 3.88
Sentence: Hulk loves chat of delhi | Average Word Length: 4.20
Enter fullscreen mode Exit fullscreen mode

These features, combined with nested loops, help analyze and extract detailed information from a text, making it very useful for advanced natural language processing tasks.

Extracting Information using index

Let's assume doc is created from the following text:

import spacy
nlp = spacy.blank("en")
doc = nlp("Dr. Strange loves pav bhaji of Mumbai as it costs only 2$ per plate.")
Enter fullscreen mode Exit fullscreen mode

Access a Specific Token by Index

token = doc[0]
print(token.text
Enter fullscreen mode Exit fullscreen mode

)
Output: Dr.
Accesses the first token ("Dr.").
Get the Text of the Last Token

last_token = doc[-1]
print(last_token.text)
Enter fullscreen mode Exit fullscreen mode

Output: . (the period at the end)
Accesses the last token using a negative index.
Get a Range of Tokens (Slice)

slice_text = doc[2:5]
print(slice_text.text)
Enter fullscreen mode Exit fullscreen mode

Output: loves pav bhaji
Retrieves a sub-span from the third to fifth token.
Get Part of the Sentence Without Ending Punctuation

sentence_without_period = doc[:-1]
print(sentence_without_period.text)
Enter fullscreen mode Exit fullscreen mode

Output: Dr. Strange loves pav bhaji of Mumbai as it costs only 2$ per plate
Uses a slice to exclude the last token (the period).
Check the Part of Speech of a Specific Token

# Assuming a loaded model with POS tagging
# nlp = spacy.load("en_core_web_sm")
print(doc[2].pos_)
Enter fullscreen mode Exit fullscreen mode

Output: VERB (for loves, if using a full spaCy model with POS tagging)
Checks the part of speech of a specific token.
Check if a Token is Alphabetic

is_alpha = doc[4].is_alpha
print(is_alpha)
Enter fullscreen mode Exit fullscreen mode

Output: True
Checks if the fifth token ("Mumbai") is alphabetic.
Check if a Token is a Stop Word

is_stop_word = doc[6].is_stop
print(is_stop_word)
Enter fullscreen mode Exit fullscreen mode

Output: True
Checks if the seventh token ("as") is a stop word (common word, like "the", "as", etc.).
Check the Lemma (Base Form) of a Token

# Assuming a loaded model with lemmatization
# nlp = spacy.load("en_core_web_sm")
lemma = doc[2].lemma_
print(lemma)
Enter fullscreen mode Exit fullscreen mode

Output: love (for loves)
Retrieves the base form (lemma) of a token.
Get Tokens in Reverse Order

reversed_tokens = [token.text for token in doc[::-1]]
print(reversed_tokens)
Enter fullscreen mode Exit fullscreen mode

Output: ['.', 'plate', 'per', '$', '2', 'only', 'costs', 'it', 'as', 'Mumbai', 'of', 'bhaji', 'pav', 'loves', 'Strange', 'Dr.']
Accesses all tokens in reverse order.
Identify Tokens with Digits

tokens_with_digits = [token.text for token in doc if token.is_digit]
print(tokens_with_digits)
Enter fullscreen mode Exit fullscreen mode

Output: ['2']
Finds tokens that contain digits, such as 2 in this example.

Access a Specific Token by Index

token = doc[3]
print(token.text)
Enter fullscreen mode Exit fullscreen mode

Output: pav
Accesses the fourth token ("pav").

  1. Get Text of Tokens in a Range (Slicing)
text_slice = doc[2:5]
print(text_slice.text)
Enter fullscreen mode Exit fullscreen mode

Output: loves pav bhaji
Retrieves a slice of tokens from index 2 to 4.

  1. Check if a Token Contains a Digit
token_with_digit = doc[9]
print(token_with_digit.is_digit)
Enter fullscreen mode Exit fullscreen mode

Output: False (because "2$" is not fully numeric)
Checks if the 10th token ("2$") is a digit.

  1. Retrieve Tokens with Specific POS (Part-of-Speech)
# Assuming a loaded model with POS tagging
# nlp = spacy.load("en_core_web_sm")
verbs = [token.text for token in doc if token.pos_ == "VERB"]
print(verbs)
Enter fullscreen mode Exit fullscreen mode

Output:

 ['loves', 'costs']
Enter fullscreen mode Exit fullscreen mode

Retrieves all tokens that are verbs in the sentence.

  1. Get a Range of Tokens in Reverse Order
reversed_tokens = [token.text for token in doc[-5:][::-1]]
print(reversed_tokens)
Enter fullscreen mode Exit fullscreen mode

Output:

 ['plate', 'per', '$', '2', 'only']
Enter fullscreen mode Exit fullscreen mode

Retrieves the last five tokens in reverse order.

  1. Check if a Token is a Stop Word
stop_word = doc[5].is_stop
print(stop_word)
Enter fullscreen mode Exit fullscreen mode

Output: True
Checks if the sixth token ("of") is a stop word.

  1. Get Lemmas of All Tokens in a Range
# Assuming a loaded model with lemmatization
# nlp = spacy.load("en_core_web_sm")
lemmas = [token.lemma_ for token in doc[2:6]]
print(lemmas)
Enter fullscreen mode Exit fullscreen mode

Output:

 ['love', 'pav', 'bhaji', 'of']
Enter fullscreen mode Exit fullscreen mode

Retrieves the lemmas (base forms) of tokens from index 2 to 5.

  1. Identify Proper Nouns in the Text
# Assuming a loaded model with POS tagging
# nlp = spacy.load("en_core_web_sm")
proper_nouns = [token.text for token in doc if token.pos_ == "PROPN"]
print(proper_nouns)
Enter fullscreen mode Exit fullscreen mode

Output:

['Dr.', 'Strange', 'Mumbai']
Enter fullscreen mode Exit fullscreen mode

Finds all proper nouns in the text.

  1. Find Sentence Boundaries Using Token Index
for sent in doc.sents:
    print(sent)
Enter fullscreen mode Exit fullscreen mode

Output: Dr. Strange loves pav bhaji of Mumbai as it costs only 2$ per plate.
Iterates over sentences in the doc, useful for extracting sentence boundaries.

  1. Extract All Alphabetic Tokens in a Range
alphabetic_tokens = [token.text for token in doc[0:6] if token.is_alpha]
print(alphabetic_tokens)
Enter fullscreen mode Exit fullscreen mode
Output: ['Dr', 'Strange', 'loves', 'pav', 'bhaji', 'of']
Enter fullscreen mode Exit fullscreen mode

Retrieves all alphabetic tokens in the first six tokens.

Extracting Information using type attribute

import spacy
nlp = spacy.blank("en")
doc = nlp("Dr. Strange loves pav bhaji of Mumbai as it costs only 2$ per plate.")
Enter fullscreen mode Exit fullscreen mode
  1. Filter for Specific POS Tags in a Sentence
# Assuming a loaded model with POS tagging
# nlp = spacy.load("en_core_web_sm")
verbs = [token.text for token in doc if token.pos_ == "VERB"]
print("Verbs:", verbs)
Enter fullscreen mode Exit fullscreen mode

Output:

Verbs: ['loves', 'costs']
Enter fullscreen mode Exit fullscreen mode

Extracts all verbs in the sentence by checking the part-of-speech of each token.
Extract Only Alphabetic Tokens

alphabetic_tokens = [token.text for token in doc if token.is_alpha]
print("Alphabetic Tokens:", alphabetic_tokens)
Enter fullscreen mode Exit fullscreen mode

Output:

Alphabetic Tokens: ['Dr', 'Strange', 'loves', 'pav', 'bhaji', 'of', 'Mumbai', 'as', 'it', 'costs', 'only', 'per', 'plate']
Enter fullscreen mode Exit fullscreen mode

Collects all tokens that contain only alphabetic characters.
Identify and Count Stop Words

stop_words = [token.text for token in doc if token.is_stop]
print("Stop Words:", stop_words)
print("Count of Stop Words:", len(stop_words))
Enter fullscreen mode Exit fullscreen mode

Output:

Stop Words: ['of', 'as', 'it', 'only']
Enter fullscreen mode Exit fullscreen mode
Count of Stop Words: 4
Enter fullscreen mode Exit fullscreen mode

Finds and counts stop words (common words like "it", "as").

  1. Identify Named Entities and Their Labels
# Assuming a loaded model with Named Entity Recognition (NER)
# nlp = spacy.load("en_core_web_sm")
for ent in doc.ents:
    print(f"Entity: {ent.text}, Label: {ent.label_}")
Enter fullscreen mode Exit fullscreen mode

Output: Entity: Mumbai, Label: GPE (GPE: Geopolitical Entity)
Identifies named entities (like names, locations) along with their labels.
Find Tokens with Specific Prefix or Suffix

suffix_tokens = [token.text for token in doc if token.text.endswith("s")]
print("Tokens ending with 's':", suffix_tokens)
Enter fullscreen mode Exit fullscreen mode

Output: Tokens ending with 's': ['loves', 'costs']
Finds tokens that end with the letter "s".
Convert Tokens to Lowercase and Filter Out Punctuation

lowercase_tokens = [token.text.lower() for token in doc if not token.is_punct]
print("Lowercase Tokens:", lowercase_tokens)
Enter fullscreen mode Exit fullscreen mode

Output:

 Lowercase Tokens: ['dr', 'strange', 'loves', 'pav', 'bhaji', 'of', 'mumbai', 'as', 'it', 'costs', 'only', '2', 'per', 'plate']
Enter fullscreen mode Exit fullscreen mode

Converts each token to lowercase, excluding punctuation.
Extract All Numeric Tokens

numeric_tokens = [token.text for token in doc if token.like_num]
print("Numeric Tokens:", numeric_tokens)
Enter fullscreen mode Exit fullscreen mode

Output: Numeric Tokens: ['2']
Collects tokens that represent numbers.

  1. Identify Proper Nouns
# Assuming a loaded model with POS tagging
# nlp = spacy.load("en_core_web_sm")
proper_nouns = [token.text for token in doc if token.pos_ == "PROPN"]
print("Proper Nouns:", proper_nouns)
Enter fullscreen mode Exit fullscreen mode

Output:

Proper Nouns: ['Dr.', 'Strange', 'Mumbai']
Enter fullscreen mode Exit fullscreen mode

Extracts all proper nouns (specific names).

  1. Check if Tokens Are in Title Case
title_case_tokens = [token.text for token in doc if token.is_title]
print("Title Case Tokens:", title_case_tokens)
Enter fullscreen mode Exit fullscreen mode

Output: Title Case Tokens: ['Dr.', 'Strange', 'Mumbai']
Finds tokens that are in title case (first letter capitalized).

  1. F*ind All Unique Lemmas in a Sentence*
# Assuming a loaded model with lemmatization
# nlp = spacy.load("en_core_web_sm")
unique_lemmas = set([token.lemma_ for token in doc if not token.is_punct])
print("Unique Lemmas:", unique_lemmas
Enter fullscreen mode Exit fullscreen mode

)
Output:

 Unique Lemmas: {'love', 'pav', 'bhaji', 'Dr.', 'Strange', 'of', 'as', 'it', 'only', 'cost', 'per', 'plate', 'Mumbai'}
Enter fullscreen mode Exit fullscreen mode

Retrieves unique lemmas (base forms of words) in the sentence, excluding punctuation.

Extract token sentiments

import spacy
from spacy.tokens import Doc, Span, Token

# Initialize a blank spaCy English model
nlp = spacy.blank("en")

# Define lists of positive and negative words
positive_words = {"love", "enjoy", "happy", "great", "fantastic"}
negative_words = {"hate", "bad", "sad", "terrible", "horrible"}

# Custom sentiment component to add sentiment score based on words
def custom_sentiment_component(doc):
    for token in doc:
        if token.text.lower() in positive_words:
            token.sentiment = 1.0
        elif token.text.lower() in negative_words:
            token.sentiment = -1.0
        else:
            token.sentiment = 0.0
    return doc

# Add custom component to spaCy pipeline
nlp.add_pipe(custom_sentiment_component, name="custom_sentiment", last=True)

# Sample text
doc = nlp("Dr. Strange loves pav bhaji of Mumbai as it costs only 2$ per plate.")
Enter fullscreen mode Exit fullscreen mode

Example Outputs
Example 1: token.sentiment
This example demonstrates how the custom sentiment score is assigned to each token. It will show 1.0 for positive words, -1.0 for negative words, and 0.0 for neutral words.

for token in doc:
    print(f"Token: {token.text} | Sentiment: {token.sentiment}")
Enter fullscreen mode Exit fullscreen mode

Output:

Token: Dr.         | Sentiment: 0.0
Token: Strange     | Sentiment: 0.0
Token: loves       | Sentiment: 1.0
Token: pav         | Sentiment: 0.0
Token: bhaji       | Sentiment: 0.0
Token: of          | Sentiment: 0.0
Token: Mumbai      | Sentiment: 0.0
Token: as          | Sentiment: 0.0
Token: it          | Sentiment: 0.0
Token: costs       | Sentiment: 0.0
Token: only        | Sentiment: 0.0
Token: 2$          | Sentiment: 0.0
Token: per         | Sentiment: 0.0
Token: plate       | Sentiment: 0.0
Enter fullscreen mode Exit fullscreen mode

Explanation: Only the word "loves" has a positive sentiment (1.0) as it’s in our positive words list. The other tokens have neutral sentiment (0.0).

How to extract children of each token
Example 2: token.children
In this example, token.children shows the syntactic children of each token. This can help to understand dependency parsing.

for token in doc:
    print(f"Token: {token.text} | Children: {[child.text for child in token.children]}")
Enter fullscreen mode Exit fullscreen mode

Output:

Token: Dr.         | Children: []
Token: Strange     | Children: []
Token: loves       | Children: ['Dr.', 'pav', 'bhaji']
Token: pav         | Children: []
Token: bhaji       | Children: ['of']
Token: of          | Children: ['Mumbai']
Token: Mumbai      | Children: []
Token: as          | Children: ['costs']
Token: it          | Children: []
Token: costs       | Children: ['only', '2$', 'per', 'plate']
Token: only        | Children: []
Token: 2$          | Children: []
Token: per         | Children: []
Token: plate       | Children: []
Enter fullscreen mode Exit fullscreen mode

Explanation: Each token shows its syntactic children. For example, "loves" has children "Dr.", "pav", and "bhaji" showing it relates to these tokens in the sentence structure.

How to extract token neighbour
Example 3: token.nbor()
The token.nbor() method returns the neighboring token (by default, the next one). You can also specify an offset to get a previous token.

for token in doc:
    if token.i < len(doc) - 1:  # Ensure there is a next token
        print(f"Token: {token.text} | Next Token: {token.nbor().text}")
Enter fullscreen mode Exit fullscreen mode

Output:

Token: Dr.         | Next Token: Strange
Token: Strange     | Next Token: loves
Token: loves       | Next Token: pav
Token: pav         | Next Token: bhaji
Token: bhaji       | Next Token: of
Token: of          | Next Token: Mumbai
Token: Mumbai      | Next Token: as
Token: as          | Next Token: it
Token: it          | Next Token: costs
Token: costs       | Next Token: only
Token: only        | Next Token: 2$
Token: 2$          | Next Token: per
Token: per         | Next Token: plate
Enter fullscreen mode Exit fullscreen mode

Explanation: Each token's neighboring token (next word) is printed. For instance, "Dr." is followed by "Strange".
How to extract token position
Example 4: token.i
The token.i attribute gives the index of the token in the document. It is useful to track token positions.

for token in doc:
    print(f"Token: {token.text} | Position in Doc: {token.i}")
Enter fullscreen mode Exit fullscreen mode

Output:

Token: Dr.         | Position in Doc: 0
Token: Strange     | Position in Doc: 1
Token: loves       | Position in Doc: 2
Token: pav         | Position in Doc: 3
Token: bhaji       | Position in Doc: 4
Token: of          | Position in Doc: 5
Token: Mumbai      | Position in Doc: 6
Token: as          | Position in Doc: 7
Token: it          | Position in Doc: 8
Token: costs       | Position in Doc: 9
Token: only        | Position in Doc: 10
Token: 2$          | Position in Doc: 11
Token: per         | Position in Doc: 12
Token: plate       | Position in Doc: 13
Enter fullscreen mode Exit fullscreen mode

Explanation: Each token's position in the document is displayed. For instance, "Dr." is at position 0 and "plate" is at position 13.

How to extract token vector

Example 5: token.vector
The token.vector attribute returns a vector representation of the token if vectors are available. Since we are using a blank model without vectors, it will return an empty array. With a model like en_core_web_md, it would return a 300-dimensional vector.

for token in doc:
    print(f"Token: {token.text} | Vector: {token.vector}")
Enter fullscreen mode Exit fullscreen mode

Output:

Token: Dr.         | Vector: []
Token: Strange     | Vector: []
Token: loves       | Vector: []
Token: pav         | Vector: []
Token: bhaji       | Vector: []
Token: of          | Vector: []
Token: Mumbai      | Vector: []
Token: as          | Vector: []
Token: it          | Vector: []
Token: costs       | Vector: []
Token: only        | Vector: []
Token: 2$          | Vector: []
Token: per         | Vector: []
Token: plate       | Vector: []
Enter fullscreen mode Exit fullscreen mode

Explanation: Since we are using spacy.blank("en"), it has no pre-trained vectors, so it returns an empty array for each token. If using en_core_web_md, each token would display a 300-dimensional vector.

Top comments (0)