Debug School

rakesh kumar
rakesh kumar

Posted on • Edited on

What Is a Training Pipeline in Machine Learning using pytorch

Defination
COMPLETE pytorch TRAINING PIPELINE (FULL CODE BLOCK)
Architecture diagram
COMPLETE KERAS TRAINING PIPELINE (FULL CODE BLOCK)
Manual Training Pipeline for Multi-Layer NN
PYTORCH OPTIMIZER Training Pipeline for Multi-Layer NN
Diagram Manual Training Pipeline (Multi-Layer NN, Manual Update)
Diagram Standard PyTorch Optimizer Training Pipeline
Full code example training pipeline for multilayer with model defined
Different way to define multi-layer neural network models in PyTorch
Training Pipeline in PyTorch — Summary
Formula & Notation Cheat Sheet
PyTorch Training Pipeline — Complete Cheat Sheet

Training pipeline

Defination 1
A training pipeline is the repeated cycle of prediction, error measurement, gradient computation, and parameter updates used to train a machine learning model.

Defination 2
A training pipeline is the repeated cycle of prediction, error measurement, gradient computation, and parameter updates used to train a machine learning model.

Defination 3
A training pipeline is a structured sequence of steps through which a machine learning model learns from data. It defines how the model:

Processes input data
Generates predictions
Calculates error (loss)
Computes gradients
Updates its parameters
Repeats the process until the model learns

COMPLETE pytorch TRAINING PIPELINE (FULL CODE BLOCK)

Defining the model

class MySimpleNN():

  def __init__(self, X):

    self.weights = torch.rand(X.shape[1], 1, dtype=torch.float64, requires_grad=True)
    self.bias = torch.zeros(1, dtype=torch.float64, requires_grad=True)

  def forward(self, X):
    z = torch.matmul(X, self.weights) + self.bias
    y_pred = torch.sigmoid(z)
    return y_pred

  def loss_function(self, y_pred, y):
    # Clamp predictions to avoid log(0)
    epsilon = 1e-7
    y_pred = torch.clamp(y_pred, epsilon, 1 - epsilon)

    # Calculate loss
    loss = -(y_train_tensor * torch.log(y_pred) + (1 - y_train_tensor) * torch.log(1 - y_pred)).mean()
    return loss
Enter fullscreen mode Exit fullscreen mode

Training Pipeline

learning_rate = 0.1
epochs = 25

# create model
model = MySimpleNN(X_train_tensor)

# define loop
for epoch in range(epochs):

  # forward pass
  y_pred = model.forward(X_train_tensor)

  # loss calculate
  loss = model.loss_function(y_pred, y_train_tensor)

  # backward pass
  loss.backward()

  # parameters update
  with torch.no_grad():
    model.weights -= learning_rate * model.weights.grad
    model.bias -= learning_rate * model.bias.grad

  # zero gradients
  model.weights.grad.zero_()
  model.bias.grad.zero_()

  # print loss in each epoch
  print(f'Epoch: {epoch + 1}, Loss: {loss.item()}')
Enter fullscreen mode Exit fullscreen mode


pytorch

COMPLETE KERAS TRAINING PIPELINE (FULL CODE BLOCK)

import tensorflow as tf
from tensorflow.keras import layers, Model

# custom model
class MySimpleNN(Model):
    def __init__(self, input_dim):
        super(MySimpleNN, self).__init__()
        self.dense = layers.Dense(1, activation='sigmoid')

    def call(self, inputs):
        return self.dense(inputs)


# create model
input_dim = X_train.shape[1]
model = MySimpleNN(input_dim)

# define loss and optimizer
loss_fn = tf.keras.losses.BinaryCrossentropy()
optimizer = tf.keras.optimizers.SGD(learning_rate=0.01)

epochs = 100

# training loop
for epoch in range(epochs):

    with tf.GradientTape() as tape:
        # forward pass
        y_pred = model(X_train, training=True)

        # loss calculation
        loss = loss_fn(y_train, y_pred)

    # backward pass (compute gradients)
    gradients = tape.gradient(loss, model.trainable_variables)

    # parameters update
    optimizer.apply_gradients(zip(gradients, model.trainable_variables))

    # print loss
    print(f'Epoch: {epoch + 1}, Loss: {loss.numpy()}')
Enter fullscreen mode Exit fullscreen mode

Manual Training Pipeline for Multi-Layer NN


import torch
import torch.nn as nn

# Create model
model = Model(num_features=X_train_tensor.shape[1])

learning_rate = 0.1
epochs = 25

# Manual BCE loss function
def bce_loss(y_pred, y_true):
    epsilon = 1e-7
    y_pred = torch.clamp(y_pred, epsilon, 1 - epsilon)
    return -(y_true * torch.log(y_pred) + (1-y_true) * torch.log(1 - y_pred)).mean()


for epoch in range(epochs):

    # 1. Forward pass
    y_pred = model(X_train_tensor)

    # 2. Loss calculation
    loss = bce_loss(y_pred, y_train_tensor)

    # 3. Backward pass
    loss.backward()

    # 4. Manual parameter update
    with torch.no_grad():
        for param in model.parameters():
            param -= learning_rate * param.grad

    # 5. Zero gradients
    model.zero_grad()

    print(f"Epoch {epoch+1}, Loss: {loss.item()}")
Enter fullscreen mode Exit fullscreen mode

PYTORCH OPTIMIZER Training Pipeline for Multi-Layer NN

import torch
import torch.nn as nn
import torch.optim as optim

model = Model(num_features=X_train_tensor.shape[1])

criterion = nn.BCELoss()
optimizer = optim.SGD(model.parameters(), lr=0.1)

epochs = 25

for epoch in range(epochs):

    # 1. Forward pass
    y_pred = model(X_train_tensor)

    # 2. Loss
    loss = criterion(y_pred, y_train_tensor)

    # 3. Backward pass
    loss.backward()

    # 4. Update parameters
    optimizer.step()

    # 5. Zero gradients
    optimizer.zero_grad()

    print(f"Epoch {epoch+1}, Loss: {loss.item()}")
Enter fullscreen mode Exit fullscreen mode

Diagram Manual Training Pipeline (Multi-Layer NN, Manual Update)

Diagram Standard PyTorch Optimizer Training Pipeline

Full code example training pipeline for multilayer with model defined

Without optimizer
DEFINE MULTI-LAYER MODEL

import torch
import torch.nn as nn



# -------------------------------
# 2. DEFINE MODEL CLASS
# -------------------------------
class Model(nn.Module):

    def __init__(self, num_features):
        super().__init__()

        self.network = nn.Sequential(
            nn.Linear(num_features, 3),   # layer 1
            nn.ReLU(),                    # activation
            nn.Linear(3, 1),              # layer 2
            nn.Sigmoid()                  # output activation for binary classification
        )

    def forward(self, features):
        return self.network(features)
Enter fullscreen mode Exit fullscreen mode

PREPARE TRAINING DATA

# -------------------------------
X_train_tensor = X_train_tensor.double()
y_train_tensor = y_train_tensor.double()

Enter fullscreen mode Exit fullscreen mode

CREATE MODEL INSTANCE

# -------------------------------
# 4. CREATE MODEL INSTANCE
# -------------------------------
model = Model(num_features=X_train_tensor.shape[1])
Enter fullscreen mode Exit fullscreen mode

LOSS FUNCTION

# -------------------------------
# 5. LOSS FUNCTION
# -------------------------------
criterion = nn.BCELoss()
Enter fullscreen mode Exit fullscreen mode

TRAINING PIPELINE

earning_rate = 0.1
epochs = 25

for epoch in range(epochs):

    # Forward pass
    y_pred = model(X_train_tensor)

    # Loss calculation
    loss = criterion(y_pred, y_train_tensor)

    # Backward pass
    loss.backward()

    # -------------------------------
    # MANUAL PARAMETER UPDATE
    # -------------------------------
    with torch.no_grad():
        for param in model.parameters():
            param -= learning_rate * param.grad

    # -------------------------------
    # ZERO GRADIENTS
    # -------------------------------
    for param in model.parameters():
        param.grad.zero_()

    # Print progress
    print(f"Epoch {epoch+1}/{epochs}, Loss = {loss.item():.6f}")
Enter fullscreen mode Exit fullscreen mode
# -------------------------------
# 1. IMPORT LIBRARIES
# -------------------------------
import torch
import torch.nn as nn


# -------------------------------
# 2. DEFINE MULTI-LAYER MODEL
# -------------------------------
class Model(nn.Module):

    def __init__(self, num_features):
        super().__init__()

        self.l1 = nn.Linear(num_features, 3, dtype=torch.float64)
        self.relu = nn.ReLU()
        self.l2 = nn.Linear(3, 1, dtype=torch.float64)
        self.sigmoid = nn.Sigmoid()

        # Ensure gradients enabled
        for param in self.parameters():
            param.requires_grad = True

    def forward(self, X):
        out = self.l1(X)
        out = self.relu(out)
        out = self.l2(out)
        out = self.sigmoid(out)
        return out


# -------------------------------
# 3. PREPARE TRAINING DATA
# -------------------------------
X_train_tensor = X_train_tensor.double()
y_train_tensor = y_train_tensor.double()


# -------------------------------
# 4. CREATE MODEL INSTANCE
# -------------------------------
model = Model(num_features=X_train_tensor.shape[1])


# -------------------------------
# 5. LOSS FUNCTION
# -------------------------------
criterion = nn.BCELoss()


# -------------------------------
# 6. TRAINING LOOP (NO OPTIMIZER)
# -------------------------------
learning_rate = 0.1
epochs = 25

for epoch in range(epochs):

    # Forward pass
    y_pred = model(X_train_tensor)

    # Loss calculation
    loss = criterion(y_pred, y_train_tensor)

    # Backward pass
    loss.backward()

    # -------------------------------
    # MANUAL PARAMETER UPDATE
    # -------------------------------
    with torch.no_grad():
        for param in model.parameters():
            param -= learning_rate * param.grad

    # -------------------------------
    # ZERO GRADIENTS
    # -------------------------------
    for param in model.parameters():
        param.grad.zero_()

    # Print progress
    print(f"Epoch {epoch+1}/{epochs}, Loss = {loss.item():.6f}")
Enter fullscreen mode Exit fullscreen mode

With optimizer

DEFINE MULTI-LAYER MODEL

class Model(nn.Module):

    def __init__(self, num_features):
        super().__init__()

        self.l1 = nn.Linear(num_features, 3, dtype=torch.float64)
        self.relu = nn.ReLU()
        self.l2 = nn.Linear(3, 1, dtype=torch.float64)
        self.sigmoid = nn.Sigmoid()

        # Ensure gradients enabled
        for param in self.parameters():
            param.requires_grad = True

    def forward(self, X):
        out = self.l1(X)
        out = self.relu(out)
        out = self.l2(out)
        out = self.sigmoid(out)
        return out
Enter fullscreen mode Exit fullscreen mode

PREPARE TRAINING DATA

# -------------------------------
X_train_tensor = X_train_tensor.double()
y_train_tensor = y_train_tensor.double()

Enter fullscreen mode Exit fullscreen mode

CREATE MODEL INSTANCE

# -------------------------------
# 4. CREATE MODEL INSTANCE
# -------------------------------
model = Model(num_features=X_train_tensor.shape[1])
Enter fullscreen mode Exit fullscreen mode

LOSS FUNCTION and optimizer

# -------------------------------
# 5. LOSS FUNCTION
# -------------------------------
criterion = nn.BCELoss()
optimizer = optim.SGD(model.parameters(), lr=0.1)
Enter fullscreen mode Exit fullscreen mode

TRAINING PIPELINE


epochs = 25

for epoch in range(epochs):

    # Forward pass
    y_pred = model(X_train_tensor)

    # Loss calculation
    loss = criterion(y_pred, y_train_tensor)

    # Backward pass
    optimizer.zero_grad()   # reset gradients
    loss.backward()         # compute gradients
    optimizer.step()        # update model parameters

    # Print progress
    print(f"Epoch {epoch + 1}/{epochs}, Loss: {loss.item():.6f}")
Enter fullscreen mode Exit fullscreen mode
# -------------------------------
# 1. IMPORT LIBRARIES
# -------------------------------
import torch
import torch.nn as nn
import torch.optim as optim


# -------------------------------
# 2. DEFINE MODEL CLASS
# -------------------------------
class Model(nn.Module):

    def __init__(self, num_features):
        super().__init__()

        self.network = nn.Sequential(
            nn.Linear(num_features, 3),   # layer 1
            nn.ReLU(),                    # activation
            nn.Linear(3, 1),              # layer 2
            nn.Sigmoid()                  # output activation for binary classification
        )

    def forward(self, features):
        return self.network(features)


# --------------------------------------------------
# 3. PREPARE TRAINING DATA (X_train_tensor, y_train_tensor)
# --------------------------------------------------
# Make sure tensors are float64 because your old model used float64
X_train_tensor = X_train_tensor.double()
y_train_tensor = y_train_tensor.double()


# -------------------------------
# 4. CREATE MODEL INSTANCE
# -------------------------------
model = Model(num_features=X_train_tensor.shape[1]).double()


# -------------------------------
# 5. DEFINE LOSS FUNCTION & OPTIMIZER
# -------------------------------
criterion = nn.BCELoss()
optimizer = optim.SGD(model.parameters(), lr=0.1)
# You can also use:
# optimizer = optim.Adam(model.parameters(), lr=0.01)


# -------------------------------
# 6. TRAINING PIPELINE
# -------------------------------
epochs = 25

for epoch in range(epochs):

    # Forward pass
    y_pred = model(X_train_tensor)

    # Loss calculation
    loss = criterion(y_pred, y_train_tensor)

    # Backward pass
    optimizer.zero_grad()   # reset gradients
    loss.backward()         # compute gradients
    optimizer.step()        # update model parameters

    # Print progress
    print(f"Epoch {epoch + 1}/{epochs}, Loss: {loss.item():.6f}")
Enter fullscreen mode Exit fullscreen mode

Different way to define multi-layer neural network models in PyTorch

Using nn.Sequential (cleanest & shortest)
Using Explicit Layers (most common in production)
Using OrderedDict inside Sequential
Custom Model With “Blocks”

Training Pipeline in PyTorch — Summary

A training pipeline organizes all steps required to train a model. In PyTorch, a typical pipeline includes:

Step 1: Prepare Dataset

Convert your raw data into tensors:

X_train_tensor = X_train_tensor.double()
y_train_tensor = y_train_tensor.double()
Enter fullscreen mode Exit fullscreen mode

✔ ensures correct dtype matches model’s parameters

Step 2: Create Model Instance

Define your architecture using nn.Module:


model = Model(num_features=X_train_tensor.shape[1]).double()
Enter fullscreen mode Exit fullscreen mode

Step 3: Define Loss Function (Criterion)

Used to measure prediction error:

criterion = nn.BCELoss()
Enter fullscreen mode Exit fullscreen mode

Common losses:

nn.MSELoss() → regression

nn.CrossEntropyLoss() → multi-class classification

nn.BCELoss() / nn.BCEWithLogitsLoss() → binary classification

Enter fullscreen mode Exit fullscreen mode

Step 4: Define Optimizer

Optimizer updates model parameters:


optimizer = optim.SGD(model.parameters(), lr=0.1)


Other options:

optim.SGD

optim.Adam

optim.RMSprop
Enter fullscreen mode Exit fullscreen mode

Step 5: Training Loop

For each epoch:

✔ Forward pass
✔ Compute loss
✔ Backward pass (gradient computation)
✔ Optimizer update

for epoch in range(epochs):
    y_pred = model(X_train_tensor)
    loss = criterion(y_pred, y_train_tensor)

    optimizer.zero_grad()  
    loss.backward()         
    optimizer.step()        

    print(f"Epoch {epoch+1}/{epochs}, Loss: {loss.item():.6f}")
Enter fullscreen mode Exit fullscreen mode

Neural Network Architecture Summary

Your PyTorch model:

class Model1(nn.Module):
    def __init__(self, num_features):
        super().__init__()
        self.network = nn.Sequential(
            nn.Linear(num_features, 8),
            nn.ReLU(),
            nn.Linear(8, 4),
            nn.ReLU(),
            nn.Linear(4, 1),
            nn.Sigmoid()
        )

    def forward(self, x):

        return self.network(x)
Enter fullscreen mode Exit fullscreen mode

This is a 3-layer, fully connected feed-forward network:

🧠

Architecture Breakdown

Input → Linear(num_features → 8) → ReLU
      → Linear(8 → 4) → ReLU
      → Linear(4 → 1) → Sigmoid
      → Output
Enter fullscreen mode Exit fullscreen mode

Formula & Notation Cheat Sheet

PyTorch Training Pipeline — Complete Cheat Sheet

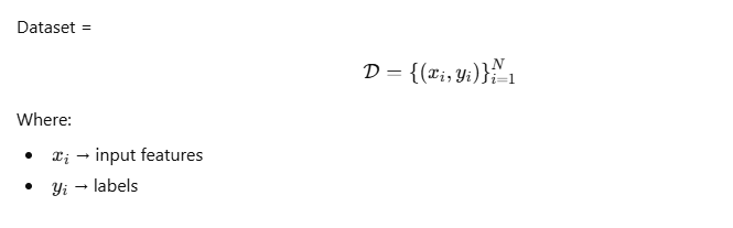
Dataset (Data Preparation Layer)
📌 Purpose

Dataset defines how data is read, transformed, and labeled.

✅ PyTorch Way

from torch.utils.data import Dataset

class CustomDataset(Dataset):
    def __init__(self, X, y):
        self.X = X
        self.y = y

    def __len__(self):
        return len(self.X)

    def __getitem__(self, idx):
        return self.X[idx], self.y[idx]
Enter fullscreen mode Exit fullscreen mode

🔢 Mathematical View

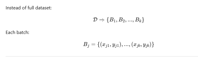
DataLoader (Batching + Shuffling)
📌 Purpose

Efficient batching, shuffling, and parallel loading.

✅ PyTorch Way
from torch.utils.data import DataLoader

train_loader = DataLoader(
    dataset=train_dataset,
    batch_size=32,
    shuffle=True
)

Enter fullscreen mode Exit fullscreen mode

🔢 Formula

Hyperparameters (Most Important Controls)
📌 Definition

Hyperparameters are set before training and not learned.

🔑 Common Hyperparameters


Neural Network (Optimized Architecture)
📌 Optimized Model with Dropout

class Model(nn.Module):
    def __init__(self, num_features):
        super().__init__()
        self.net = nn.Sequential(
            nn.Linear(num_features, 64),
            nn.ReLU(),
            nn.Dropout(0.5),

            nn.Linear(64, 32),
            nn.ReLU(),
            nn.Dropout(0.3),

            nn.Linear(32, 1),
            nn.Sigmoid()
        )

    def forward(self, x):
        return self.net(x)
Enter fullscreen mode Exit fullscreen mode

🔹 5. Dropout (Regularization)

Training Loop (End-to-End)

for epoch in range(epochs):
    for X_batch, y_batch in train_loader:

        y_pred = model(X_batch)
        loss = criterion(y_pred, y_batch)

        optimizer.zero_grad()
        loss.backward()
        optimizer.step()
Enter fullscreen mode Exit fullscreen mode

Transfer Learning (Pretrained Models)
📌 Use Case

Reuse knowledge from large pretrained networks.

✅ Example (Freezing Layers)

for param in pretrained_model.parameters():
    param.requires_grad = False
Enter fullscreen mode Exit fullscreen mode

📌 Replace Final Layer

pretrained_model.fc = nn.Linear(512, 1)
Enter fullscreen mode Exit fullscreen mode

🔢 Concept
New Task

Knowledge from Old Task
New Task←Knowledge from Old Task
Optimized Neural Network Checklist

✔ Batch Normalization
✔ Dropout
✔ Proper Initialization
✔ Adam Optimizer
✔ Learning Rate Scheduling

✅ Scheduler

scheduler = optim.lr_scheduler.StepLR(
    optimizer, step_size=10, gamma=0.1
)
Enter fullscreen mode Exit fullscreen mode

Convert this into PDF cheat sheet

Deep_Learning_with_Py_Torch
More Detail.........

More Detail.........

Top comments (0)