Debug School

rakesh kumar
rakesh kumar

Posted on

Explain different kind of loss function in deep learning

What is Loss Function in Deep Learning?

In mathematical optimization and decision theory, a loss or cost function (sometimes also called an error function) is a function that maps an event or values of one or more variables onto a real number intuitively representing some “cost” associated with the event.

In simple terms, the Loss function is a method of evaluating how well your algorithm is modeling your dataset. It is a mathematical function of the parameters of the machine learning algorithm.

In simple linear regression, prediction is calculated using slope(m) and intercept(b). the loss function for this is the (Yi – Yihat)^2 i.e loss function is the function of slope and intercept.

Image description

Loss Function
Why Loss Function in Deep Learning is Important?

The loss function is a method of evaluating how well your machine learning algorithm models your featured data set. In other words, loss functions are a measurement of how good your model is at predicting the expected outcome.

Broadly speaking, loss functions can be grouped into two major categories concerning the types of problems we come across in the real world: classification and regression. In classification problems, our task is to predict the respective probabilities of all classes the problem is dealing with. On the other hand, when it comes to regression, our task is to predict the continuous value concerning a given set of independent features to the learning algorithm.

Image description

Image description

Types of Loss function

Image description

Image description

Image description

Image description

Regression Loss

  1. Mean Squared Error/Squared loss/ L2 loss The Mean Squared Error (MSE) is the simplest and most common loss function. To calculate the MSE, you take the difference between the actual value and model prediction, square it, and average it across the whole dataset.

Image description

Image description

Advantage

  1. Easy to interpret.
  2. Always differential because of the square.
  3. Only one local minima. Disadvantage
  4. Error unit in the square. because the unit in the square is not understood properly.
  5. Not robust to outlier

Mean Absolute Error/ L1 loss
The Mean Absolute Error (MAE) is also the simplest loss function. To calculate the MAE, you take the difference between the actual value and model prediction and average it across the whole dataset.

Image description

Image description

Advantage

  1. Intuitive and easy
  2. Error Unit Same as the output column.
  3. Robust to outlier Disadvantage
  4. Graph, not differential. we can not use gradient descent directly, then we can subgradient calculation.
    Note – In regression at the last neuron use linear activation function.

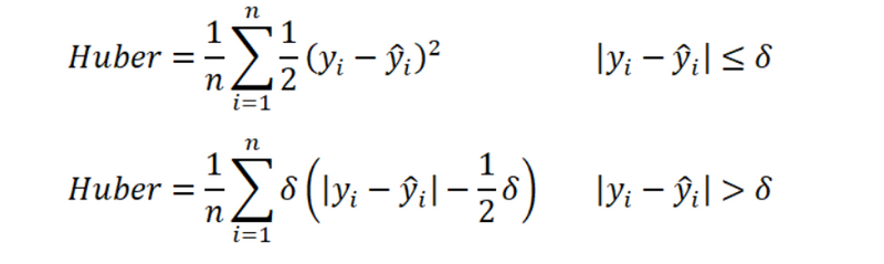
  5. Huber Loss
    In statistics, the Huber loss is a loss function used in robust regression, that is less sensitive to outliers in data than the squared error loss.

Image description

n – the number of data points.
y – the actual value of the data point. Also known as true value.
ŷ – the predicted value of the data point. This value is returned by the model.
δ – defines the point where the Huber loss function transitions from a quadratic to linear.
Enter fullscreen mode Exit fullscreen mode

Advantage
Robust to outlier
It lies between MAE and MSE.
Disadvantage
Its main disadvantage is the associated complexity. In order to maximize model accuracy, the hyperparameter δ will also need to be optimized which increases the training requirements.

Image description

B. Classification Loss

  1. Binary Cross Entropy/log loss It is used in binary classification problems like two classes. example a person has covid or not or my article gets popular or not.

Binary cross entropy compares each of the predicted probabilities to the actual class output which can be either 0 or 1. It then calculates the score that penalizes the probabilities based on the distance from the expected value. That means how close or far from the actual value.

Image description

Image description

yi – actual values
yihat – Neural Network prediction
Advantage
A cost function is a differential.
Disadvantage
Multiple local minima
Not intuitive
Note – In classification at last neuron use sigmoid activation function.

  1. Categorical Cross Entropy Categorical Cross entropy is used for Multiclass classification and softmax regression.
loss function = -sum up to k(yjlagyjhat) where k is classes
Enter fullscreen mode Exit fullscreen mode

Image description

cost function = -1/n(sum upto n(sum j to k (yijloghijhat))
Enter fullscreen mode Exit fullscreen mode

Image description

where

k is classes,
y = actual value
yhat – Neural Network prediction
Note – In multi-class classification at the last neuron use the softmax activation function

Image description

HINGE LOSS
The second most common loss function used for classification problems and an alternative to the cross-entropy loss function is hinge loss, primarily developed for support vector machine (SVM) model evaluation.

Image description

Hinge loss penalizes the wrong predictions and the right predictions that are not confident. It’s primarily used with SVM classifiers with class labels as -1 and 1. Make sure you change your malignant class labels from 0 to -1.

. What is a loss function?
A. A loss function is a mathematical function that quantifies the difference between predicted and actual values in a machine learning model. It measures the model’s performance and guides the optimization process by providing feedback on how well it fits the data.

Q2. What is loss and cost function in deep learning?
A. In deep learning, “loss function” and “cost function” are often used interchangeably. They both refer to the same concept of a function that calculates the error or discrepancy between predicted and actual values. The cost or loss function is minimized during the model’s training process to improve accuracy.

Q3. What is L1 loss function in deep learning?
A. L1 loss function, also known as the mean absolute error (MAE), is commonly used in deep learning. It calculates the absolute difference between predicted and actual values. L1 loss is robust to outliers but does not penalize larger errors as strongly as other loss functions like L2 loss.

Q4. What is loss function in deep learning for NLP?
A. In deep learning for natural language processing (NLP), various loss functions are used depending on the specific task. Common loss functions for tasks like sentiment analysis or text classification include categorical cross-entropy and binary cross-entropy, which measure the difference between predicted and true class labels for classification tasks in NLP.

Q5. How is the loss function used to train a neural network?

  1. Backpropagation is an algorithm that updates the weights of the neural network in order to minimize the loss function.
  2. Backpropagation works by first calculating the loss function for the current set of weights.
  3. Next, it calculates the gradient of the loss function with respect to the weights.
  4. Finally, it updates the weights in the direction opposite to the gradient.
  5. The network is trained until the loss function stops decreasing.

reference
Reference
reference

Top comments (0)