Debug School

rakesh kumar
rakesh kumar

Posted on • Edited on

How to performing scaling in keras dataset MNIST

About Keras mnist datasets
How to perform Scaling
Meaning of X_train: (60000, 28, 28)
3 advantage of sacaling
How Scaling provides faster convergence and uniformity while traing model

Keras mnist.load_data
This loads the MNIST dataset, which contains 70,000 grayscale images of handwritten digits (0-9), where each image is a 28x28 pixel image.
This is one of the most popular datasets for image classification, especially for benchmarking machine learning models on digit recognition tasks

Data format:

Images (X_train, X_test):
Each image is represented as a 2D array (28x28 pixels) with integer values (0 to 255) representing pixel intensity (grayscale).

X_train: Contains 60,000 training images.
X_test: Contains 10,000 test images
Enter fullscreen mode Exit fullscreen mode

.
Labels (y_train, y_test):
These represent the digit corresponding to each image (0-9).

y_train: Contains 60,000 labels for training.
y_test: Contains 10,000 labels for testing.
Enter fullscreen mode Exit fullscreen mode

Shape:

X_train: (60000, 28, 28) → 60,000 images of size 28x28 pixels.
y_train: (60000,) → 60,000 labels (digits 0-9).
X_test: (10000, 28, 28) → 10,000 images of size 28x28 pixels.
y_test: (10000,) → 10,000 labels.
Enter fullscreen mode Exit fullscreen mode

Key characteristics:

The data is returned as NumPy arrays, and the images are structured in a 3D array (samples x height x width).
This is a raw image dataset, suitable for image classification tasks.
You usually need to preprocess the images (e.g., flatten them into vectors if used with traditional machine learning models or normalize pixel values between 0 and 1).

How to perform Scaling

X_train = X_train / 255
X_test = X_test / 255
Enter fullscreen mode Exit fullscreen mode

This is a common normalization step when dealing with image data, particularly in neural networks.

Explanation:
The MNIST dataset consists of grayscale images where pixel values range from 0 to 255. Each pixel value represents the intensity of the color:

0 represents black
255 represents white
Enter fullscreen mode Exit fullscreen mode

Any value in between represents different shades of gray.

Dividing by 255 scales the pixel values to the range [0, 1]
Enter fullscreen mode Exit fullscreen mode

, which is beneficial for several reasons:

Normalization: Neural networks generally perform better when the input data is within a smaller range (e.g., [0, 1]). This ensures that the magnitude of the data is kept small, which can help prevent issues like vanishing/exploding gradients.
Faster convergence: Scaling the data can help the model train faster and achieve better performance. It reduces the burden on the optimizer to adjust weights for large value differences.
Uniformity: This also ensures that all features (in this case, pixel values) are on a comparable scale, which helps the model learn effectively.
In short, this step is used to standardize the input image data for better and more efficient training of machine learning models.

import tensorflow as tf
from tensorflow import keras
import matplotlib.pyplot as plt
%matplotlib inline
import numpy as np
Enter fullscreen mode Exit fullscreen mode
(X_train, y_train) , (X_test, y_test) = keras.datasets.mnist.load_data()
Enter fullscreen mode Exit fullscreen mode
len(X_train)=>60000
len(X_test)=>10000
#X_train.shape  =>(60000, 28, 28)
X_train[0].shape=>(28, 28)
Enter fullscreen mode Exit fullscreen mode
X_train[0]
Enter fullscreen mode Exit fullscreen mode

Before scaling lots of value above 1 in below output
Image description

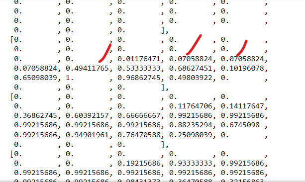
After scaling all value range between 0 to 1 in below output

X_train = X_train / 255
X_test = X_test / 255
Enter fullscreen mode Exit fullscreen mode

Image description

Top comments (0)